Planck 2013 results
Free Access

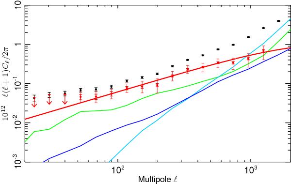
Fig. 7

image

NILC F/L cross-power spectrum before (black points) and after (red points) foreground correction, compared to the power spectra of the physically motivated foreground models. Specifically we show: clustered CIB (green line); infrared sources (cyan line); and radio sources (blue line). The statistical (thick line) and total (statistical plus foreground, thin line), uncertainties are also shown. Additionally we show the best-fit tSZ power spectrum model presented in Sect. 7.1 as a solid red line.

Current usage metrics show cumulative count of Article Views (full-text article views including HTML views, PDF and ePub downloads, according to the available data) and Abstracts Views on Vision4Press platform.

Data correspond to usage on the plateform after 2015. The current usage metrics is available 48-96 hours after online publication and is updated daily on week days.

Initial download of the metrics may take a while.