Planck 2013 results
Free Access

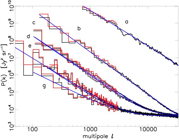
Fig. 17

image

Power spectra of six fields observed by both Planck (red) and Herschel (black). Fits to the spectra are shown in blue. There is a good agreement between Planck and Herschel in the common multipole range (typically < 3000). Fields are, from top to bottom: (a) Aquila; (b) Polaris; (c) Spider; (d) Draco; (e) Gama; (f) FLS; and (g) XMM-LSS. No real Galactic sources are expected in fields (b)–(g), only extragalactic sources (correlated and Poisson components) and cirrus at larger angular scales. Real Galactic sources are detected, however, in (a) (André et al. 2010): the power spectrum is orders of magnitude above the other fields, demonstrating the need to separate the Galactic from extragalactic zones, and the use of the background brightness as a proxy to estimate the cirrus contamination.

Current usage metrics show cumulative count of Article Views (full-text article views including HTML views, PDF and ePub downloads, according to the available data) and Abstracts Views on Vision4Press platform.

Data correspond to usage on the plateform after 2015. The current usage metrics is available 48-96 hours after online publication and is updated daily on week days.

Initial download of the metrics may take a while.