Planck 2013 results
Free Access

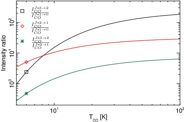
Fig. 20

image

Comparison of the relative CO specific intensity for the first three rotational transitions, for a varied CO rotation temperature. The normalization employed removes any dependence on the column density. Only one data point is illustrated for each curve to keep the plot legible and provide the desired curve identification.

Current usage metrics show cumulative count of Article Views (full-text article views including HTML views, PDF and ePub downloads, according to the available data) and Abstracts Views on Vision4Press platform.

Data correspond to usage on the plateform after 2015. The current usage metrics is available 48-96 hours after online publication and is updated daily on week days.

Initial download of the metrics may take a while.