Planck 2013 results
Free Access

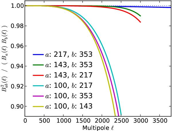
Fig. 16

image

Ratios of the cross-beam window functions to the product of the respective auto-beam window functions Ba()Bb() for maps at 100, 143, 217 and 353 GHz, illustrating Eq. (16).

Current usage metrics show cumulative count of Article Views (full-text article views including HTML views, PDF and ePub downloads, according to the available data) and Abstracts Views on Vision4Press platform.

Data correspond to usage on the plateform after 2015. The current usage metrics is available 48-96 hours after online publication and is updated daily on week days.

Initial download of the metrics may take a while.