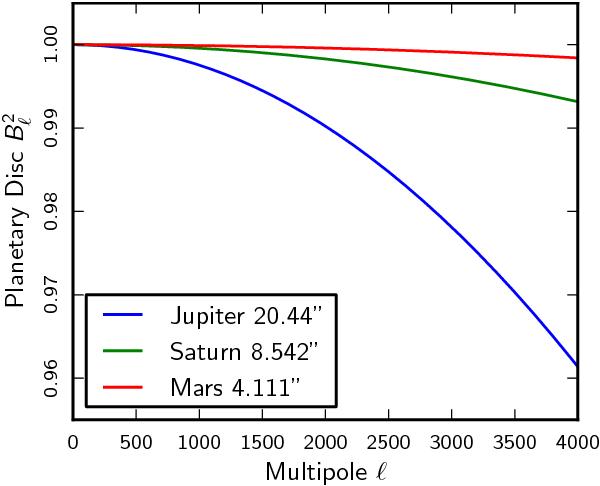
Fig. 8
Window functions of the planetary discs of Jupiter, Saturn, and Mars, equivalent to the bias in the inferred effective beam window function if the beam is reconstructed from observations of one of these planets alone. The labels show the corresponding angular radius of each disc.
Current usage metrics show cumulative count of Article Views (full-text article views including HTML views, PDF and ePub downloads, according to the available data) and Abstracts Views on Vision4Press platform.
Data correspond to usage on the plateform after 2015. The current usage metrics is available 48-96 hours after online publication and is updated daily on week days.
Initial download of the metrics may take a while.