Planck 2013 results
Free Access

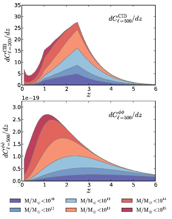
Fig. 1

image

Redshift- and mass-integrand for the CIB and CMB lensing potential power spectra at = 500, calculated using the CIB halo model of Planck Collaboration XVIII (2011), evaluated at 217 GHz. The good match between the redshift and halo mass distributions leads to an expected correlation of up to 80%. The sharper features in the CIB kernel are artefacts from the Béthermin et al. (2012c) model. We note that the low mass, high-z behaviour of our calculation is limited by the accuracy of the mass function we use (Tinker & Wetzel 2010). All of our mass integrals use Mmin = 105 M.

Current usage metrics show cumulative count of Article Views (full-text article views including HTML views, PDF and ePub downloads, according to the available data) and Abstracts Views on Vision4Press platform.

Data correspond to usage on the plateform after 2015. The current usage metrics is available 48-96 hours after online publication and is updated daily on week days.

Initial download of the metrics may take a while.