Planck 2013 results
Free Access

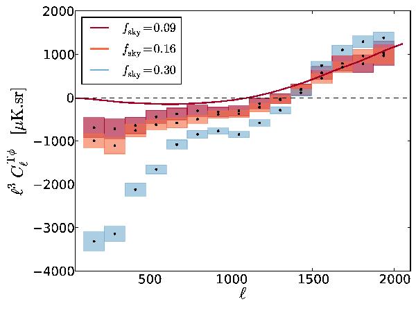
Fig. 11

image

Cross-spectrum of the 545 GHz lens reconstruction correlated with the 545 GHz temperature map, using different Galactic masks. The legend gives the visible sky fractions. The solid line represents the analytic unclustered shot-noise contribution fit to the fsky = 0.09 points above = 1300.

Current usage metrics show cumulative count of Article Views (full-text article views including HTML views, PDF and ePub downloads, according to the available data) and Abstracts Views on Vision4Press platform.

Data correspond to usage on the plateform after 2015. The current usage metrics is available 48-96 hours after online publication and is updated daily on week days.

Initial download of the metrics may take a while.