Planck 2013 results
Free Access

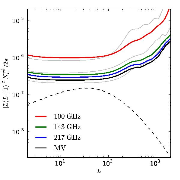
Fig. 1

image

Sky-averaged lens reconstruction noise levels for the 100, 143, and 217 GHz Planck channels (red, green, and blue solid, respectively), as well as for experiments that are cosmic-variance limited to a maximum multipole max = 1000, 1500, and 1750 (upper to lower solid grey lines). A fiducial ΛCDM lensing potential using best-fit parameters to the temperature power spectrum from Planck Collaboration XVI (2014) is shown in dashed black. The noise level for a minimum-variance (“MV”) combination of 143 + 217 GHz is shown in black (the gain from adding 100 GHz is negligible).

Current usage metrics show cumulative count of Article Views (full-text article views including HTML views, PDF and ePub downloads, according to the available data) and Abstracts Views on Vision4Press platform.

Data correspond to usage on the plateform after 2015. The current usage metrics is available 48-96 hours after online publication and is updated daily on week days.

Initial download of the metrics may take a while.