Planck 2013 results
Free Access

Fig. 2

image

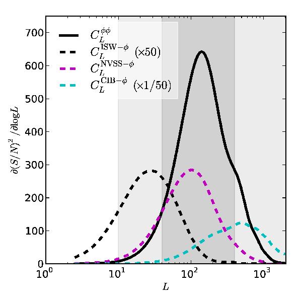
Overview of forecasted contributions to the detection significance as a function of lensing multipole L for the power spectrum (solid black), as well as for several other mass tracers, at the noise levels of our MV lens reconstruction. Our measurement of the power spectrum is presented in Sect. 6, The ISW-φ correlation believed to be induced by dark energy is studied in Sect. 6.2. The NVSS-φ correlation is studied (along with other galaxy correlations) in Sect. 6.3. The CIB-φ prediction (dashed cyan) uses the linear SSED model of Hall et al. (2010), assuming no noise or foreground contamination. A full analysis and interpretation of the CIB-φ correlation is performed in Planck Collaboration XVIII (2014).

Current usage metrics show cumulative count of Article Views (full-text article views including HTML views, PDF and ePub downloads, according to the available data) and Abstracts Views on Vision4Press platform.

Data correspond to usage on the plateform after 2015. The current usage metrics is available 48-96 hours after online publication and is updated daily on week days.

Initial download of the metrics may take a while.