Planck 2013 results
Free Access

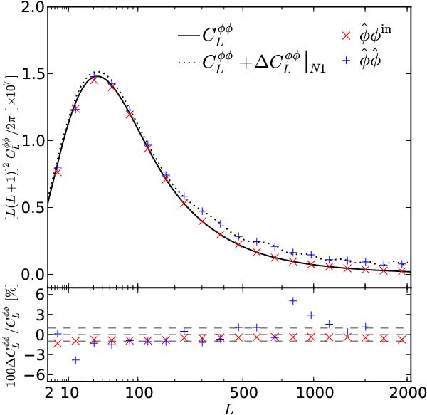
Fig. 3

image

Validation of our estimator normalization for simulations of the MV reconstruction at the map and power spectrum levels. The map normalization (plotted as ) is tested by taking the cross-spectrum of the input φ with the reconstruction averaged over Monte-Carlo simulations, divided by an fsky factor to account for missing power in the mask. The power spectrum normalization (plotted as ) is obtained by averaging the first line of Eq. (15)over simulations, and then comparing it to the expected value, which is because our simulations do not contain point-source non-Gaussianity.

Current usage metrics show cumulative count of Article Views (full-text article views including HTML views, PDF and ePub downloads, according to the available data) and Abstracts Views on Vision4Press platform.

Data correspond to usage on the plateform after 2015. The current usage metrics is available 48-96 hours after online publication and is updated daily on week days.

Initial download of the metrics may take a while.