Planck 2013 results
Free Access

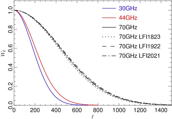
Fig. 17

image

FEBeCoP beam window functions for Planck 30, 44, and 70 GHz frequency maps. For 70 GHz, we also show the beam window functions for a subset of detectors, namely LFI18-23, LFI19-22, and LFI20-21.

Current usage metrics show cumulative count of Article Views (full-text article views including HTML views, PDF and ePub downloads, according to the available data) and Abstracts Views on Vision4Press platform.

Data correspond to usage on the plateform after 2015. The current usage metrics is available 48-96 hours after online publication and is updated daily on week days.

Initial download of the metrics may take a while.