Planck 2013 results
Free Access

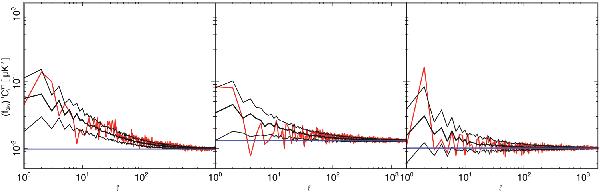
Fig. 13

image

Comparison of the noise angular power spectra of half-ring difference maps (red), white noise covariance maps produced by madam (blue), and 101 full-noise MCs for each C (black; for 16%, 50% (bold), and 84% quantiles). In the noise MC case, no errors were propagated from Tables 9 and 10; only the median values of the three noise parameters were used. Those plots validate our capability to model the noise in the TOD in agreement with the half-ring difference maps that give the most direct measure of the noise.

Current usage metrics show cumulative count of Article Views (full-text article views including HTML views, PDF and ePub downloads, according to the available data) and Abstracts Views on Vision4Press platform.

Data correspond to usage on the plateform after 2015. The current usage metrics is available 48-96 hours after online publication and is updated daily on week days.

Initial download of the metrics may take a while.