Planck 2013 results
Free Access

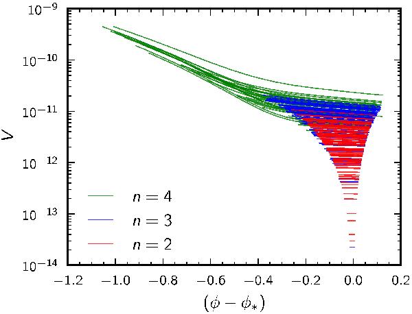
Fig. 14

image

Observable range of the best fitting inflaton potentials, when V(φ) is Taylor expanded to nth order around the pivot value φ, in natural units (where assuming a flat prior on ϵV, ηV, , and , and using Planck+WP data. Potentials obtained under the transformation (φφ) → (φφ) leave the same observable signature and are also allowed. The sparsity of potentials with a small V0 = V(φ) is explained by the flat prior on ϵV rather than on ln(V0). In fact, V0 is unbounded from below.

Current usage metrics show cumulative count of Article Views (full-text article views including HTML views, PDF and ePub downloads, according to the available data) and Abstracts Views on Vision4Press platform.

Data correspond to usage on the plateform after 2015. The current usage metrics is available 48-96 hours after online publication and is updated daily on week days.

Initial download of the metrics may take a while.