Planck 2013 results
Free Access

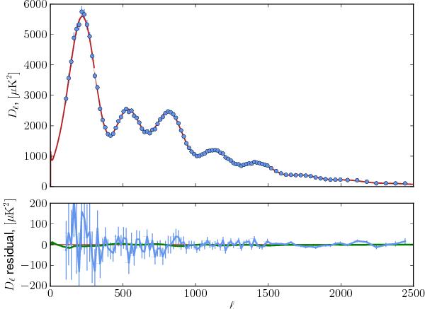
Fig. 18

image

Top: CMB power spectrum estimated using the Plik likelihood, after subtracting the best-fit foreground model. Bottom: residual difference (blue line) between the Plik spectrum and the best-fit ΛCDM model. The solid green line shows the difference between the best-fit models derived from the Plik and CamSpec likelihoods.

Current usage metrics show cumulative count of Article Views (full-text article views including HTML views, PDF and ePub downloads, according to the available data) and Abstracts Views on Vision4Press platform.

Data correspond to usage on the plateform after 2015. The current usage metrics is available 48-96 hours after online publication and is updated daily on week days.

Initial download of the metrics may take a while.