Planck 2013 results
Free Access

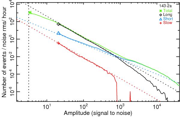
Fig. 14

image

Differential counts for the three populations of glitches for one of the detectors with a high rate of glitches (143-2a) measured from simulated data. This can be compared to the results on real data shown in Fig. 8 for the same bolometer. Dashed lines are shown for reference and are identical to the lines shown for the real data. There is almost perfect agreement between simulations and data, except for very high amplitude glitches ≳104σ. Those glitches are affected by the bolometer nonlinearity in the real data, an effect that we did not simulate at this stage, explaining the discrepancies in the counts. We simulated slightly fewer very high amplitude slow glitches than in the Planck data. This affects only about one event per day.

Current usage metrics show cumulative count of Article Views (full-text article views including HTML views, PDF and ePub downloads, according to the available data) and Abstracts Views on Vision4Press platform.

Data correspond to usage on the plateform after 2015. The current usage metrics is available 48-96 hours after online publication and is updated daily on week days.

Initial download of the metrics may take a while.