Planck 2013 results
Free Access

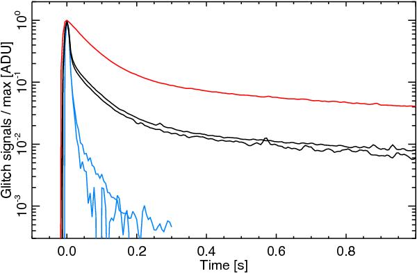
Fig. 2

image

Examples of three distinct families of glitch transfer functions for a typical PSB-a bolometer. Events like the blue curves are called “short” events, those like the black curves are called “long”, and those like the red curves are called “slow”. Typical variation of the shape within each family is shown for short and long glitches. The differences between long glitch shapes are modelled by a single nonlinearity parameter relating the amplitude of the slow tail of events with their peak amplitude. There is no apparent glitch tail associated with short events.

Current usage metrics show cumulative count of Article Views (full-text article views including HTML views, PDF and ePub downloads, according to the available data) and Abstracts Views on Vision4Press platform.

Data correspond to usage on the plateform after 2015. The current usage metrics is available 48-96 hours after online publication and is updated daily on week days.

Initial download of the metrics may take a while.