Planck 2013 results
Free Access

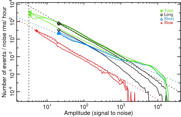
Fig. 8

image

Distributions, dN/dE, of the three families of glitches with respect to the peak amplitude, in signal-to-noise ratio units, for three different bolometers: 143-1a; 143-2a; and 217-1. The blue line is for the short glitch population, black is for long, red is for slow, and green is for total. We have chosen bolometers with very different behaviour: 143-1a has one of the lowest glitch rates while 143-2a and 217-1 have high glitch rates. The faint-end break of the glitch counts is visible for 217-1, a bolometer that has no slow glitches (see Sect. 2.3). Power laws are shown for comparison as dashed lines. Indices and amplitudes of power laws are chosen to match the distribution of bolometer 143-2a. Indices are −2.4 for long and slow glitches, and −1.7 for short glitches. The vertical dashed line indicates the detection threshold. There is no attempt here to separate the long and short glitch populations below 20 times the rms noise. The slow glitch spectrum is shown down to 5 times the rms.

Current usage metrics show cumulative count of Article Views (full-text article views including HTML views, PDF and ePub downloads, according to the available data) and Abstracts Views on Vision4Press platform.

Data correspond to usage on the plateform after 2015. The current usage metrics is available 48-96 hours after online publication and is updated daily on week days.

Initial download of the metrics may take a while.