Planck 2013 results
Free Access

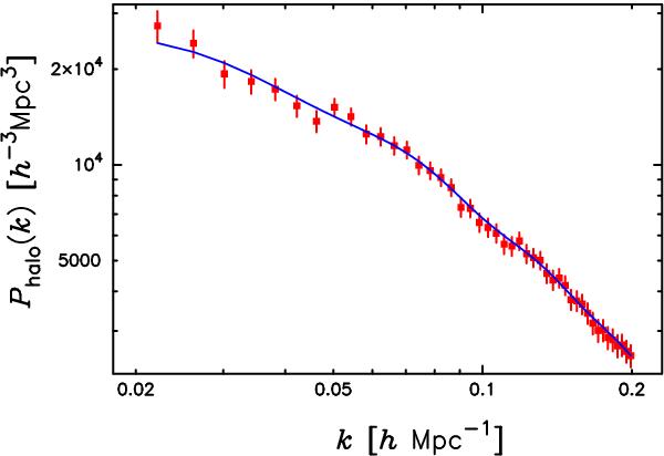
Fig. 20

image

Band-power estimates of the halo power spectrum, Phalo(k), from Reid et al. (2010) together with 1σ errors. (Note that these data points are strongly correlated.) The line shows the predicted spectrum for the best-fit Planck+WP+highL base ΛCDM parameters.

Current usage metrics show cumulative count of Article Views (full-text article views including HTML views, PDF and ePub downloads, according to the available data) and Abstracts Views on Vision4Press platform.

Data correspond to usage on the plateform after 2015. The current usage metrics is available 48-96 hours after online publication and is updated daily on week days.

Initial download of the metrics may take a while.