Planck 2013 results
Free Access

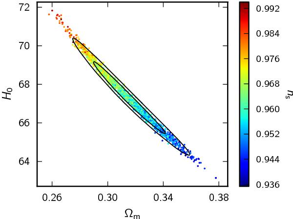
Fig. 3

image

Constraints in the ΩmH0 plane. Points show samples from the Planck-only posterior, coloured by the corresponding value of the spectral index ns. The contours (68% and 95%) show the improved constraint from Planck+lensing+WP. The degeneracy direction is significantly shortened by including WP, but the well-constrained direction of constant Ωmh3 (set by the acoustic scale), is determined almost equally accurately from Planck alone.

Current usage metrics show cumulative count of Article Views (full-text article views including HTML views, PDF and ePub downloads, according to the available data) and Abstracts Views on Vision4Press platform.

Data correspond to usage on the plateform after 2015. The current usage metrics is available 48-96 hours after online publication and is updated daily on week days.

Initial download of the metrics may take a while.