Planck 2013 results
Free Access

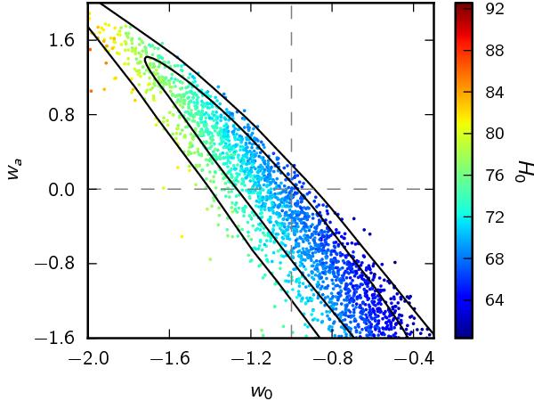
Fig. 35

image

2D marginalized posterior distribution for w0 and wa for Planck+WP+BAO data. The contours are 68% and 95%, and the samples are colour-coded according to the value of H0. Independent flat priors of −3 <w0< − 0.3 and −2 <wa< 2 are assumed. Dashed grey lines show the cosmological constant solution w0 = − 1 and wa = 0.

Current usage metrics show cumulative count of Article Views (full-text article views including HTML views, PDF and ePub downloads, according to the available data) and Abstracts Views on Vision4Press platform.

Data correspond to usage on the plateform after 2015. The current usage metrics is available 48-96 hours after online publication and is updated daily on week days.

Initial download of the metrics may take a while.