Planck 2013 results
Free Access

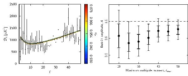
Fig. 39

image

Left: PlanckTT spectrum at low multipoles with 68% ranges on the posteriors. The “rainbow” band show the best fits to the entire Planck+WP+highL likelihood for the base ΛCDM cosmology, colour-coded according to the value of the scalar spectral index ns. Right: limits (68% and 95%) on the relative amplitude of the base ΛCDM fits to the Planck+WP likelihood fitted only to the Planck TT likelihood over the multipole range 2 ≤ max.

This figure is made of several images, please see below:

Current usage metrics show cumulative count of Article Views (full-text article views including HTML views, PDF and ePub downloads, according to the available data) and Abstracts Views on Vision4Press platform.

Data correspond to usage on the plateform after 2015. The current usage metrics is available 48-96 hours after online publication and is updated daily on week days.

Initial download of the metrics may take a while.