Planck 2013 results
Free Access

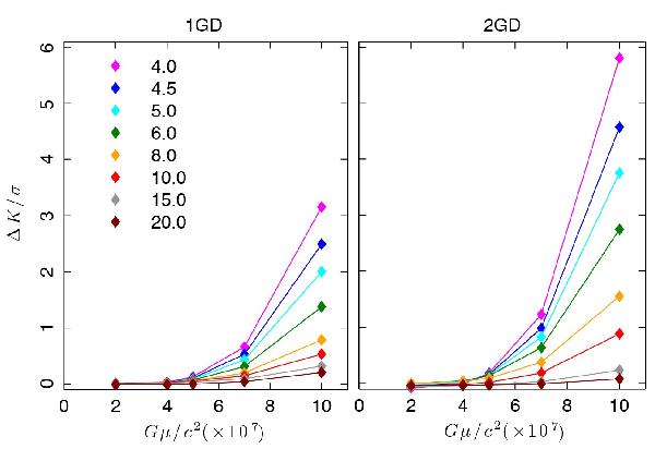
Fig. 13

image

Deviation of the kurtosis of the signed-intensity as a function of /c2, normalised to the standard deviation of CMB and noise simulations: ΔK/σ = (K(R,Gμ/c2) − K(R,Gμ/c2 = 0)) /σ. The left panel shows results for the 1GD wavelet and the right shows the 2GD wavelet. Each curve corresponds to a wavelet scale, R (arcmin), included in the analysis. The final sensitivity of the method is determined by combining the two wavelets and all the scales.

Current usage metrics show cumulative count of Article Views (full-text article views including HTML views, PDF and ePub downloads, according to the available data) and Abstracts Views on Vision4Press platform.

Data correspond to usage on the plateform after 2015. The current usage metrics is available 48-96 hours after online publication and is updated daily on week days.

Initial download of the metrics may take a while.