Free Access

Fig. 3

thumbnail

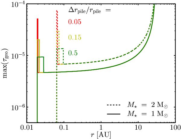
Maximum geometrical optical depth profiles of debris disks with collisions, P–R drag, and sublimation (Eq. (28) with τgeo, base(r) given by Eq. (5)), for different values of relative pile-up width Δrpile/rpile shown in different colors. The solid lines correspond to disks around solar-mass stars, the dashed lines to disks around 2 M stars. All profiles assume a parent belt at r0 = 30 AU, dust grains with β = 0.5, and rpile ≈ 0.019 AU, and rpile ≈ 0.064 AU, for the M = 1 M, and M = 2 M cases, respectively, corresponding to spherical graphite grains with β = 0.5.

Current usage metrics show cumulative count of Article Views (full-text article views including HTML views, PDF and ePub downloads, according to the available data) and Abstracts Views on Vision4Press platform.

Data correspond to usage on the plateform after 2015. The current usage metrics is available 48-96 hours after online publication and is updated daily on week days.

Initial download of the metrics may take a while.