Planck 2013 results
Free Access

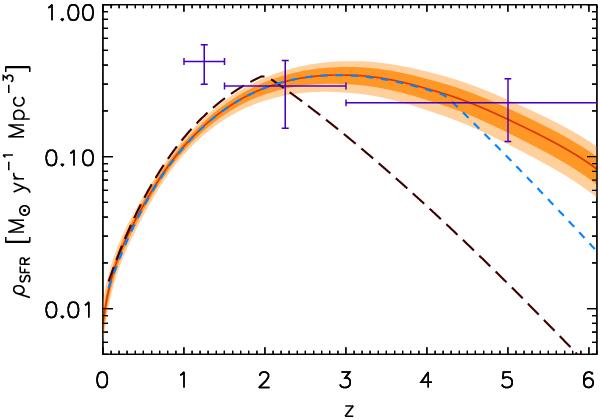
Fig. 14

image

Marginalized constraints on the star formation rate density, as derived from our extended halo model described in Sect. 5.5 (red continuous line with ± 1 and ± 2σ orange dashed areas). It is compared with mean values computed imposing the condition δ(z ≥ 2) = 0 (black long-dashed line), or the combined conditions δ(zzbreak) = 0 and T(z = zbreak) = T(zbreak), where zbreak is found to be 4.2 ± 0.5 (blue dashed line). The violet points with error bars are the SFR density determined from the modelling of the CIB-CMB Lensing cross correlation by Planck Collaboration 2013RPlanck Collaboration XVIII (2014).

Current usage metrics show cumulative count of Article Views (full-text article views including HTML views, PDF and ePub downloads, according to the available data) and Abstracts Views on Vision4Press platform.

Data correspond to usage on the plateform after 2015. The current usage metrics is available 48-96 hours after online publication and is updated daily on week days.

Initial download of the metrics may take a while.