Free Access

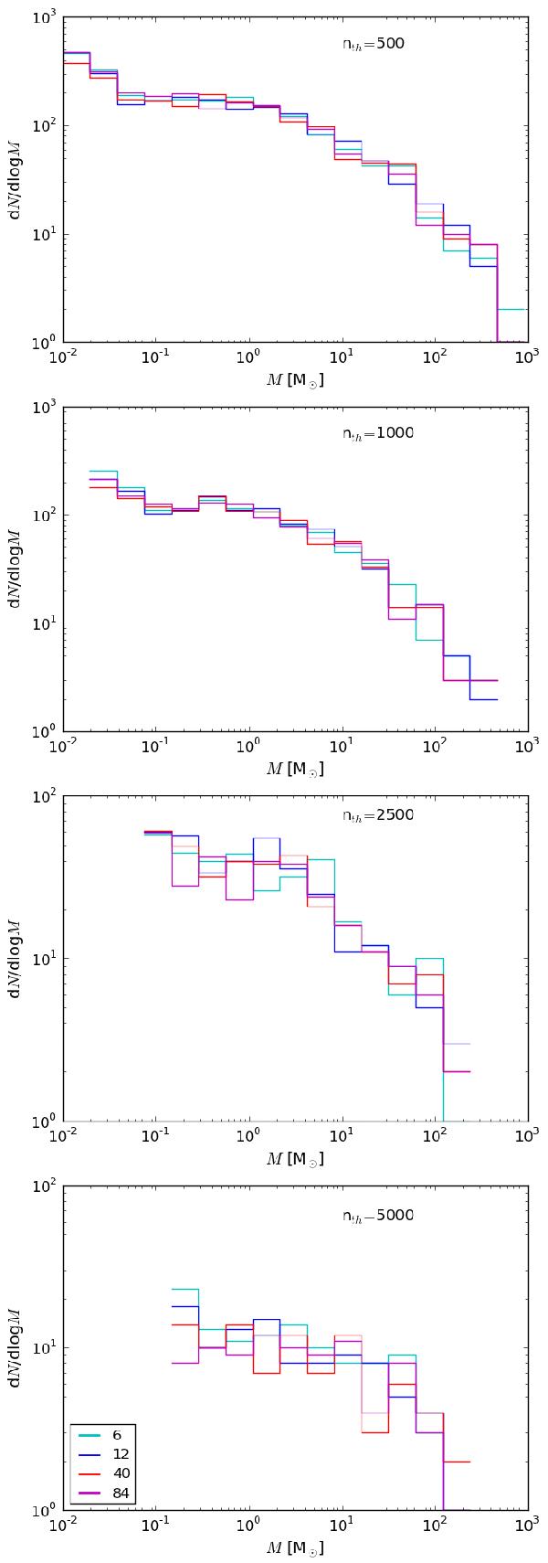
Fig. A.2

thumbnail

Comparison of the mass spectrum of clumps at t = 10 Myr for different estimations of the column density at low resolution. From top to bottom: nth = 500, 1000, 2500,5000 cm-3.

Current usage metrics show cumulative count of Article Views (full-text article views including HTML views, PDF and ePub downloads, according to the available data) and Abstracts Views on Vision4Press platform.

Data correspond to usage on the plateform after 2015. The current usage metrics is available 48-96 hours after online publication and is updated daily on week days.

Initial download of the metrics may take a while.