Planck 2013 results
Free Access

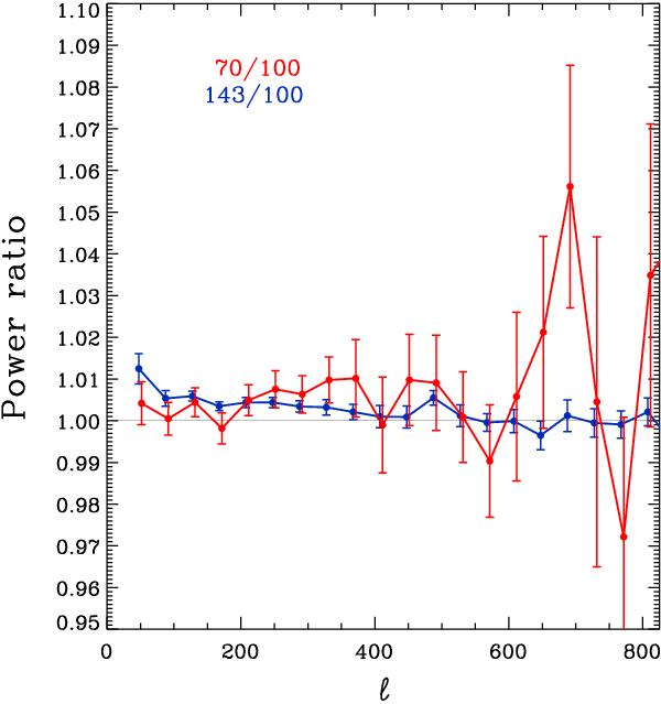
Fig. 12

image

Same as the bottom middle panel of Fig. 6, but corrected for the near-sidelobe power at 100 and 143 GHz that was not included in the 2013 results. Since the beam corrections for 100 and 143 GHz are nearly identical, the ratio 143/100 hardly changes. The ratio 70/100, however, changes significantly, moving towards unity. Uncertainties in the beam window function corrections are not included.

Current usage metrics show cumulative count of Article Views (full-text article views including HTML views, PDF and ePub downloads, according to the available data) and Abstracts Views on Vision4Press platform.

Data correspond to usage on the plateform after 2015. The current usage metrics is available 48-96 hours after online publication and is updated daily on week days.

Initial download of the metrics may take a while.