Planck 2013 results
Free Access

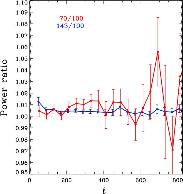
Fig. 9

image

Same as the bottom middle panel of Fig. 6, but corrected for differences in unresolved-source residuals (see text). We have not tried to account for uncertainties in the foreground correction itself; however, since the correction is small, the effect on the uncertainties would be small.

Current usage metrics show cumulative count of Article Views (full-text article views including HTML views, PDF and ePub downloads, according to the available data) and Abstracts Views on Vision4Press platform.

Data correspond to usage on the plateform after 2015. The current usage metrics is available 48-96 hours after online publication and is updated daily on week days.

Initial download of the metrics may take a while.