Free Access

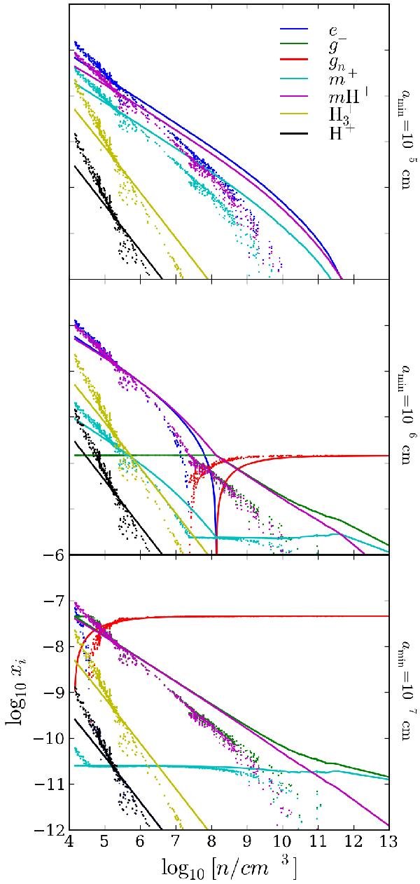
Fig. 2

thumbnail

Ionisation fractions for model L2 as a function of the volume density computed with a constant CR ionisation rate ζH2= 5 × 10-17 s-1 (constant-ζ, solid lines) and with a spatially resolved ζH2 (variable-ζ, dots). The three panels are for amin = 10-5 cm (top), amin = 10-6 cm (middle) and amin = 10-7 cm (bottom).

Current usage metrics show cumulative count of Article Views (full-text article views including HTML views, PDF and ePub downloads, according to the available data) and Abstracts Views on Vision4Press platform.

Data correspond to usage on the plateform after 2015. The current usage metrics is available 48-96 hours after online publication and is updated daily on week days.

Initial download of the metrics may take a while.