Free Access

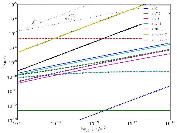
Fig. 3

thumbnail

Ionisation fractions as a function of the CR ionisation rate at density n(H2) = 106 cm-3 assuming large grains (amin = 10-5 cm, solid lines) and small grains (amin = 10-7 cm, dotted lines). Dashed grey lines show the trend for xiζH2 and xi ∝ (ζH2)1 / 2.

Current usage metrics show cumulative count of Article Views (full-text article views including HTML views, PDF and ePub downloads, according to the available data) and Abstracts Views on Vision4Press platform.

Data correspond to usage on the plateform after 2015. The current usage metrics is available 48-96 hours after online publication and is updated daily on week days.

Initial download of the metrics may take a while.