Free Access

Fig. 1

thumbnail

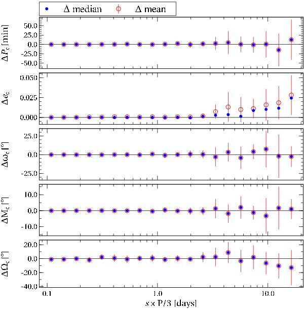
Mean (red-open circles with 1σ error bars) and median (blue-filled circles) variation (Δ) of fitted parameters of planet c for each value of the measurement errors on T0, which are here parametrized as s × P/ 3 (see text for details).

Current usage metrics show cumulative count of Article Views (full-text article views including HTML views, PDF and ePub downloads, according to the available data) and Abstracts Views on Vision4Press platform.

Data correspond to usage on the plateform after 2015. The current usage metrics is available 48-96 hours after online publication and is updated daily on week days.

Initial download of the metrics may take a while.