Free Access

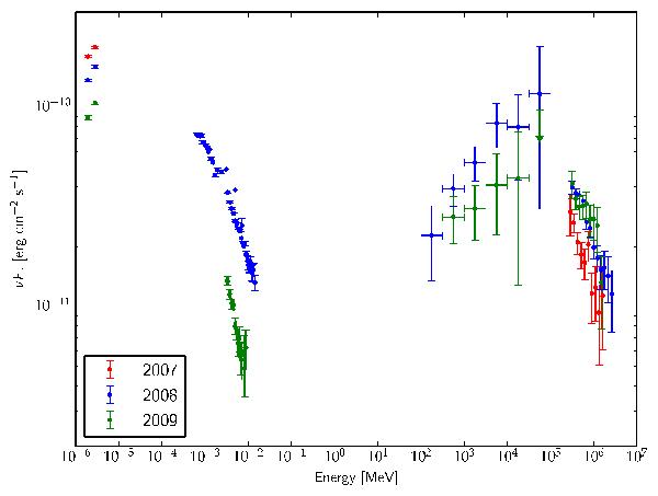
Fig. 5

image

Average broadband SEDs of PKS 2155−304 for the years 2007, 2008, and 2009 (red, blue and green symbols, respectively), constructed using quasi-simultaneous data collected with ATOM, RXTE, Swift, Fermi-LAT, and H.E.S.S.

Current usage metrics show cumulative count of Article Views (full-text article views including HTML views, PDF and ePub downloads, according to the available data) and Abstracts Views on Vision4Press platform.

Data correspond to usage on the plateform after 2015. The current usage metrics is available 48-96 hours after online publication and is updated daily on week days.

Initial download of the metrics may take a while.