Free Access

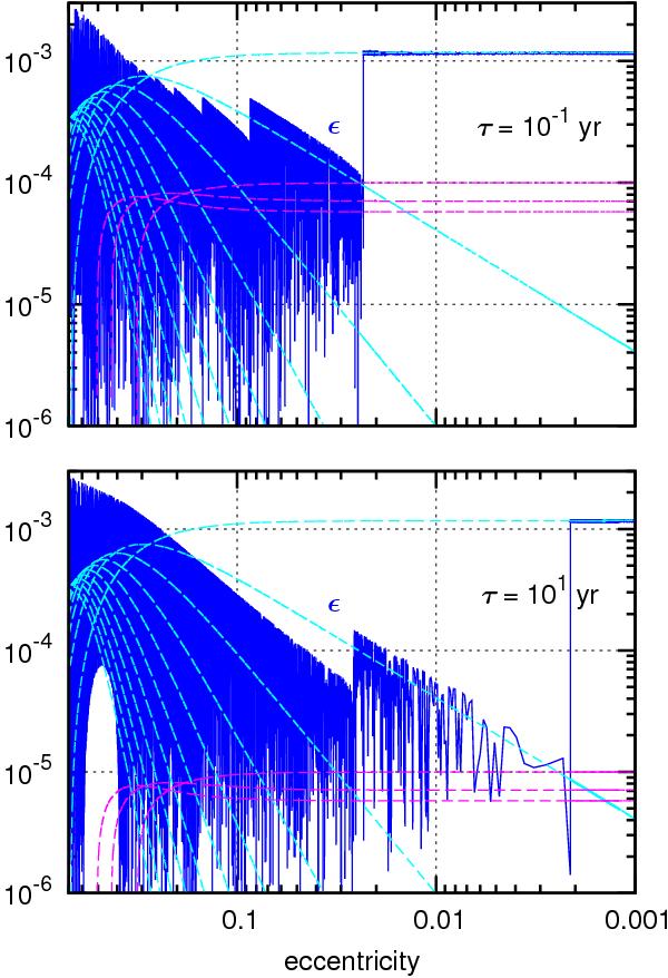
Fig. 13

thumbnail

Evolution of the “permanent” prolateness (in blue) of 55 Cnc e as a function of the eccentricity for different τ values. The cyan dashed lines show the average equilibrium value of the “permanent” prolateness for each spin-orbit resonance (first term in Eq. (88)). The pink dashed lines give the strength of the tidal torque for each resonance (Eq. (41)).

Current usage metrics show cumulative count of Article Views (full-text article views including HTML views, PDF and ePub downloads, according to the available data) and Abstracts Views on Vision4Press platform.

Data correspond to usage on the plateform after 2015. The current usage metrics is available 48-96 hours after online publication and is updated daily on week days.

Initial download of the metrics may take a while.