Free Access

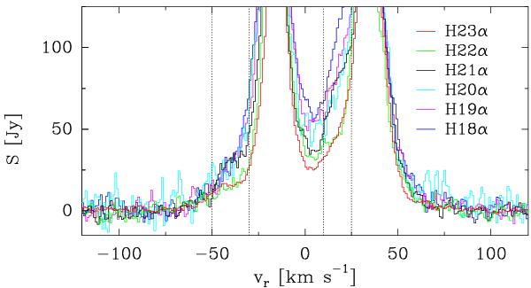
Fig. 2

image

Measured line profiles of Hnα RLs with 18 ≤ n ≤ 23. The vertical dashed lines indicate the limits of the radial velocity ranges of the two new kinematic components that are blueshifted with respect to the laser peaks. This figure clearly shows two new blueshifted kinematic components observed in the RLs with n ≤ 21.

Current usage metrics show cumulative count of Article Views (full-text article views including HTML views, PDF and ePub downloads, according to the available data) and Abstracts Views on Vision4Press platform.

Data correspond to usage on the plateform after 2015. The current usage metrics is available 48-96 hours after online publication and is updated daily on week days.

Initial download of the metrics may take a while.