Free Access

Fig. 2

image

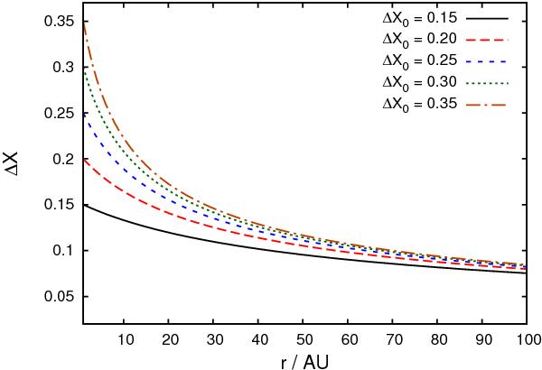
Compression ΔX as a function of distance r from the Sun for five different values of ΔX0 at r0 = 1 AU with r0/Lj = 1/3. The compression decreases with distance and approaches a value of about 0.1 at the position of the termination shock. The dependence on the jump occurrence r0/Lj is discussed in Chashei & Fahr (2014).

Current usage metrics show cumulative count of Article Views (full-text article views including HTML views, PDF and ePub downloads, according to the available data) and Abstracts Views on Vision4Press platform.

Data correspond to usage on the plateform after 2015. The current usage metrics is available 48-96 hours after online publication and is updated daily on week days.

Initial download of the metrics may take a while.