Free Access

Fig. 1

image

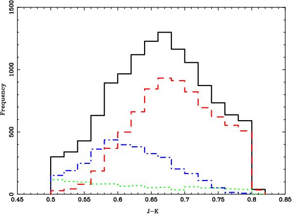
Histograms of JK colours for 12308 RAVE stars observed towards the South Galactic Pole (black continuous line). Red clump stars (red dashed), subgiants (blue dash-dotted line), dwarfs (green dotted line) identified from their gravity.

Current usage metrics show cumulative count of Article Views (full-text article views including HTML views, PDF and ePub downloads, according to the available data) and Abstracts Views on Vision4Press platform.

Data correspond to usage on the plateform after 2015. The current usage metrics is available 48-96 hours after online publication and is updated daily on week days.

Initial download of the metrics may take a while.