Free Access

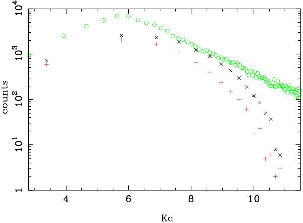
Fig. 3

image

2MASS star counts towards the South Galactic Pole versus the Kc magnitude (green circle) corrected for Galactic latitude (RAVE counts towards both poles are indicated by black crosses, and RAVE counts of red clump stars are denoted by red plus signs).

Current usage metrics show cumulative count of Article Views (full-text article views including HTML views, PDF and ePub downloads, according to the available data) and Abstracts Views on Vision4Press platform.

Data correspond to usage on the plateform after 2015. The current usage metrics is available 48-96 hours after online publication and is updated daily on week days.

Initial download of the metrics may take a while.