Free Access

Fig. 7

image

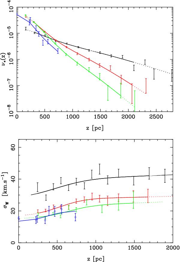
Vertical number density (top) and velocity dispersions (bottom), data (symbols with error bars) and model (lines) for the three RAVE metallicity samples and the NGP-Hipparcos sample: low metallicity [ M/H ] ≤ −0.35 (black), intermediate −0.35 < [ M/H ] ≤ −0.15 (red), high −0.15 < [ M/H ] (green), NGP (blue). Dotted lines are the extrapolated model not fitted to data.

This figure is made of several images, please see below:

Current usage metrics show cumulative count of Article Views (full-text article views including HTML views, PDF and ePub downloads, according to the available data) and Abstracts Views on Vision4Press platform.

Data correspond to usage on the plateform after 2015. The current usage metrics is available 48-96 hours after online publication and is updated daily on week days.

Initial download of the metrics may take a while.