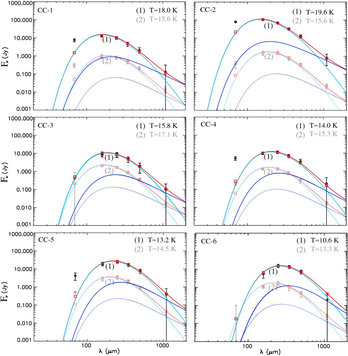
Fig. 4

Herschel (70, 160, 250, 350, 500 μm) – Bolocam (1.1 mm) SED (black diamonds) of cold clumps, fitted with the TLS model using the compact source parameters (total emission in red, DCD and TLS processes in light and dark blue). Squares represent the model integrated in the band filters of each instrument, allowing direct comparisons with data (diamonds). 70 μm data have not been included in the fitting. SED corresponding to the central (1) and surrounding (2) part of the region are represented in dark and light colors.
Current usage metrics show cumulative count of Article Views (full-text article views including HTML views, PDF and ePub downloads, according to the available data) and Abstracts Views on Vision4Press platform.
Data correspond to usage on the plateform after 2015. The current usage metrics is available 48-96 hours after online publication and is updated daily on week days.
Initial download of the metrics may take a while.