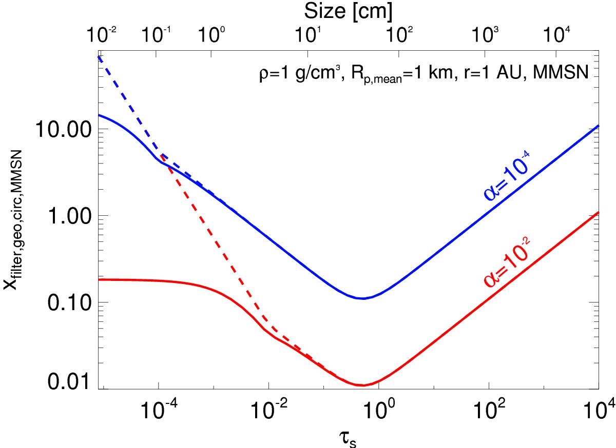
Fig. 5

Filtering factor by an MMSN disk of planetesimals of size Rp,mean = 1 km and density in a MMSN gas disk at 1 AU, as a function of the dust stopping time τs for two values of the turbulence parameter α = 10-4 (blue curves) and α = 10-2 (red curves), respectively. The corresponding physical sizes of dust particles (top axis) assume a density of 1 g cm-3 and the MMSN conditions at 1 AU. The solid lines are obtained from Eq. (60). The dashed lines indicate the results obtained when neglecting gas advection (τs,ν = 0). Small values of τs<α correspond to a situation in which the dust particles are mixed with the gas vertically and have a radial migration due to gas drag that is slower than advection by the gas. We note that the filtering factor is inversely proportional to Rp,mean, implying that for size distributions equivalent to that of the present-day asteroid belt (Rp,mean ~ 70 km), filtering would be very inefficient.
Current usage metrics show cumulative count of Article Views (full-text article views including HTML views, PDF and ePub downloads, according to the available data) and Abstracts Views on Vision4Press platform.
Data correspond to usage on the plateform after 2015. The current usage metrics is available 48-96 hours after online publication and is updated daily on week days.
Initial download of the metrics may take a while.