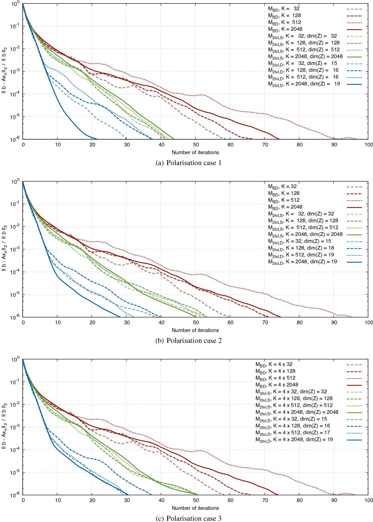
Fig. 3

Convergence of the preconditioned CG solver applied to the simulated data, as described in Sect. 5.2. Different line styles correspond to different sizes of the problem, while different colours correspond to the three different types of preconditioners: red for the standard block preconditioner MBD, and green and blue for the two-level preconditioners, M2lvl,S and M2lvl,D, respectively. In the legend, K corresponds to the number of stationary intervals in the time domain data and dim(Z) denotes the number of columns in the deflation subspace operator, Z. For the a posteriori preconditioner, M(2lvl,D), dim(Z) is the number of eigenvalues, which fulfill the condition Re | λi | <ϵtol = 0.2.
Current usage metrics show cumulative count of Article Views (full-text article views including HTML views, PDF and ePub downloads, according to the available data) and Abstracts Views on Vision4Press platform.
Data correspond to usage on the plateform after 2015. The current usage metrics is available 48-96 hours after online publication and is updated daily on week days.
Initial download of the metrics may take a while.