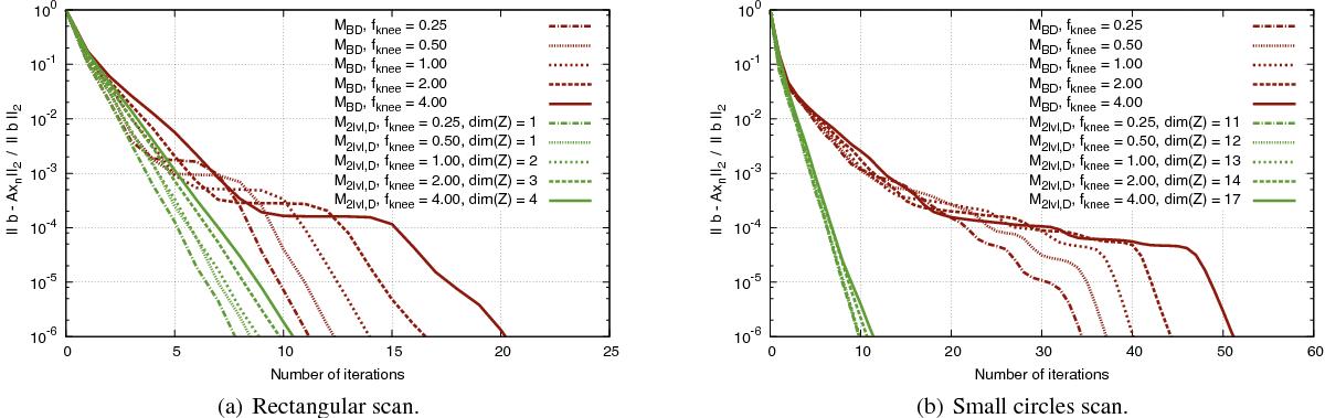
Fig. 4

Convergence of the PCG solver of the CMB map-making problem for two different scanning strategy. Different types of lines correspond to different versions of the Toeplitz matrix used in the simulation, as described by the parameter fknee. Different colours correspond to the two different types of preconditioners: red for the standard block preconditioner MBD and green for the two-level preconditioner M2lvl,D whose coarse space ZD, is made of approximated eigenvectors corresponding to small eigenvalues λi of MBDA. dim(Z) denotes the number of columns in the deflation subspace operator ZD which is the number of eigenvalues with (Re | λi | <ϵtol = 0.3).
Current usage metrics show cumulative count of Article Views (full-text article views including HTML views, PDF and ePub downloads, according to the available data) and Abstracts Views on Vision4Press platform.
Data correspond to usage on the plateform after 2015. The current usage metrics is available 48-96 hours after online publication and is updated daily on week days.
Initial download of the metrics may take a while.