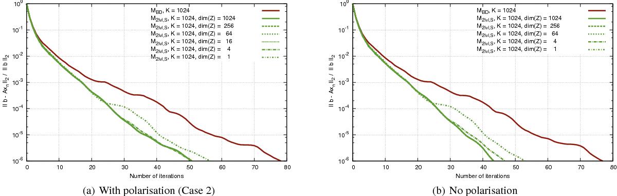
Fig. 5

Convergence of the CG solver preconditioned with the two-level a priori precondtioner for the scan made of K = 1024 big circles. Green lines correspond to the solutions obtained using the deflation subspace matrix, ZS, with a progressively lower rank, which is given by dim(Z) in the legend. Red curves depict the solution with the standard preconditioner, MBD.
Current usage metrics show cumulative count of Article Views (full-text article views including HTML views, PDF and ePub downloads, according to the available data) and Abstracts Views on Vision4Press platform.
Data correspond to usage on the plateform after 2015. The current usage metrics is available 48-96 hours after online publication and is updated daily on week days.
Initial download of the metrics may take a while.