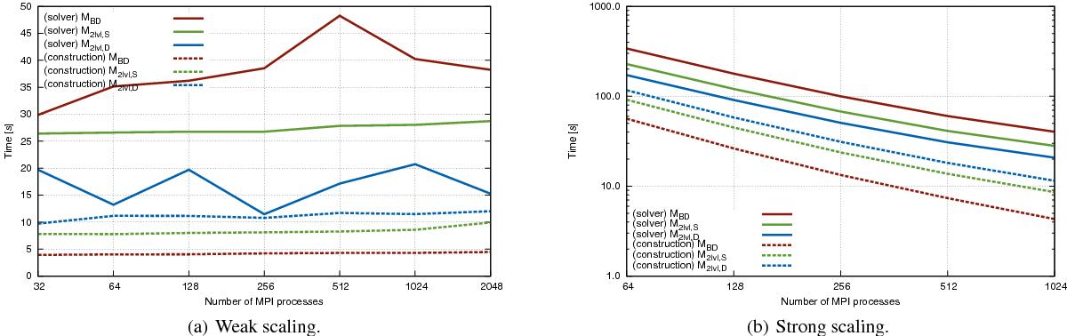
Fig. 8

Total time spent in the iterative solver for the standard, block-diagonal preconditioner, MBD, and the two variants of our new two-level preconditioner, M2lvl, plotted as a function of the number of MPI process used for the computation. The results of the weak scaling tests, i.e., in which problem size is increased proportionally to the number of employed MPI processes, are shown in the left panel, while the results of the tests with a fixed size of the problem, so called strong scaling, are depicted in the right panel. Dashed lines show the cost of the construction of the preconditioners.
Current usage metrics show cumulative count of Article Views (full-text article views including HTML views, PDF and ePub downloads, according to the available data) and Abstracts Views on Vision4Press platform.
Data correspond to usage on the plateform after 2015. The current usage metrics is available 48-96 hours after online publication and is updated daily on week days.
Initial download of the metrics may take a while.