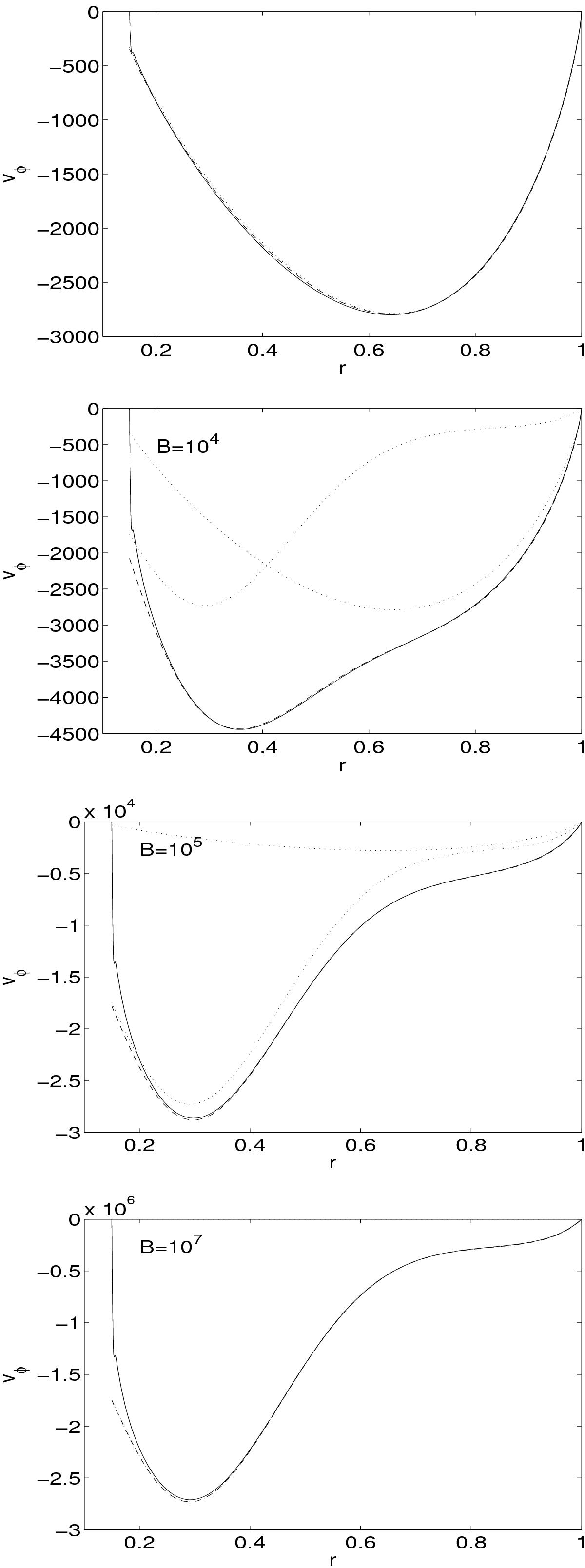
Fig. 4

Evolution of the azimuthal velocity for η = 0.15,
, E = 10-7, λ = 10-4, and B = 0,104,105,107 (downward). The solid line is the numerical solution, the dashed line is the full analytical solution, and the two dot lines are the solutions of each flow. The transition is at B = 104, the differential rotation is then governed by baroclinicity as shown in Fig. 5. Boundary conditions are no-slip on both sides r = η and r = 1.
Current usage metrics show cumulative count of Article Views (full-text article views including HTML views, PDF and ePub downloads, according to the available data) and Abstracts Views on Vision4Press platform.
Data correspond to usage on the plateform after 2015. The current usage metrics is available 48-96 hours after online publication and is updated daily on week days.
Initial download of the metrics may take a while.