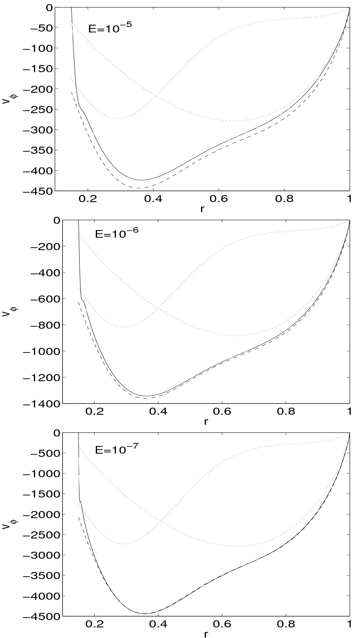
Fig. 6

Azimuthal velocity uφ as a function of the normalized radius for λ = 10-4, η = 0.15, and . The solid line is the numerical solution, dotted lines are the analytical solutions of the spin-up flow and the baroclinic flow, the dashed line is the sum of both. Downwards: E = 10-5,10-6,10-7 and the transition value on the differential rotation is B = 103,3 × 103,104, respectively. Beyond this threshold, the baroclinicity governs the differential rotation. Boundary conditions are no-slip on both sides r = η and r = 1. Note that as the Ekman number decreases, the discrepancy between the numerical and the analytical solutions decreases as well.
Current usage metrics show cumulative count of Article Views (full-text article views including HTML views, PDF and ePub downloads, according to the available data) and Abstracts Views on Vision4Press platform.
Data correspond to usage on the plateform after 2015. The current usage metrics is available 48-96 hours after online publication and is updated daily on week days.
Initial download of the metrics may take a while.