Free Access
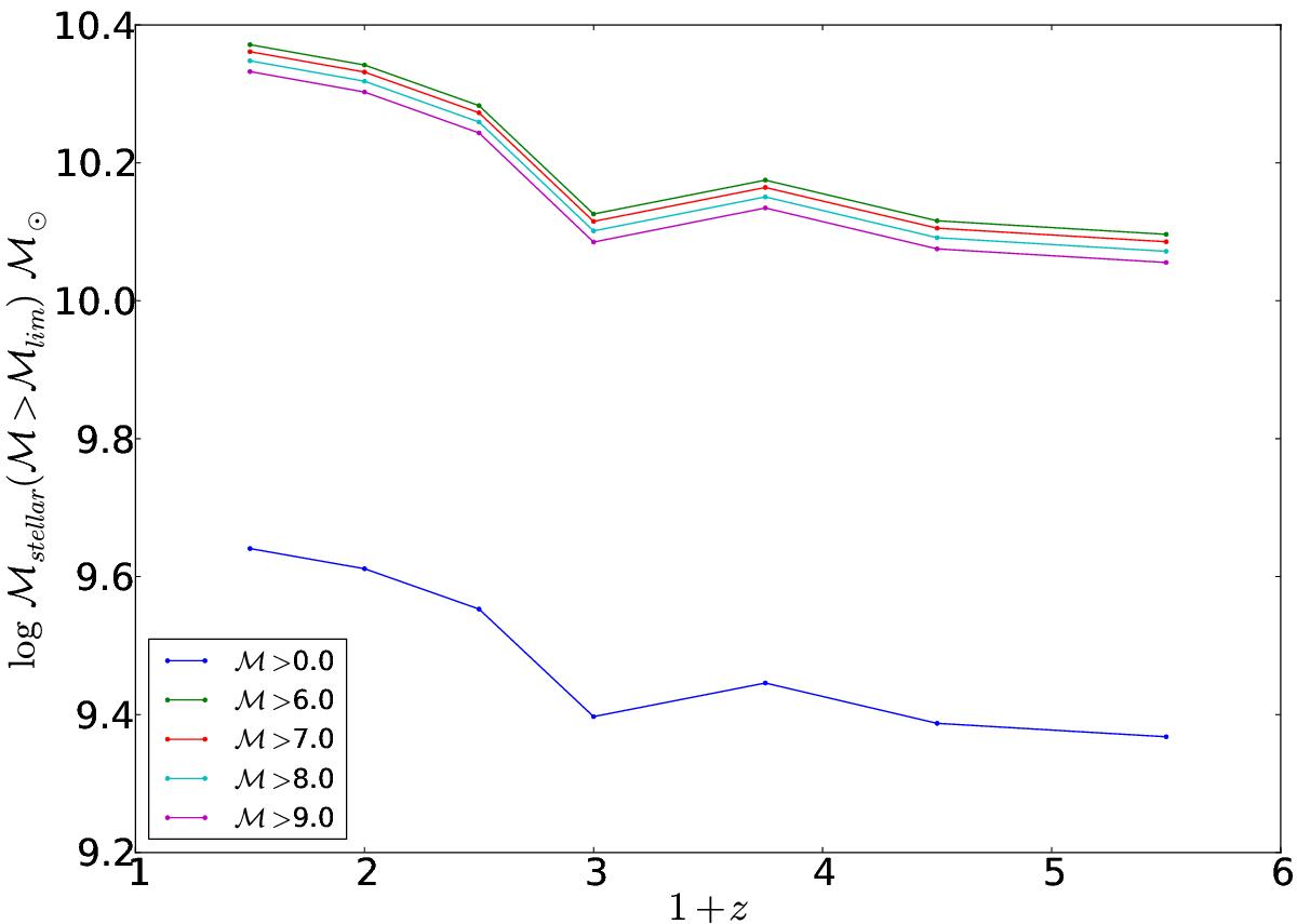
Fig. 3

Average stellar mass estimated using the GSMF data from FDF sample for different lower mass limits. In this graph the error bars were omitted to emphasize the behavior of log ℳstellar along the redshift range with different mass limits.
Current usage metrics show cumulative count of Article Views (full-text article views including HTML views, PDF and ePub downloads, according to the available data) and Abstracts Views on Vision4Press platform.
Data correspond to usage on the plateform after 2015. The current usage metrics is available 48-96 hours after online publication and is updated daily on week days.
Initial download of the metrics may take a while.