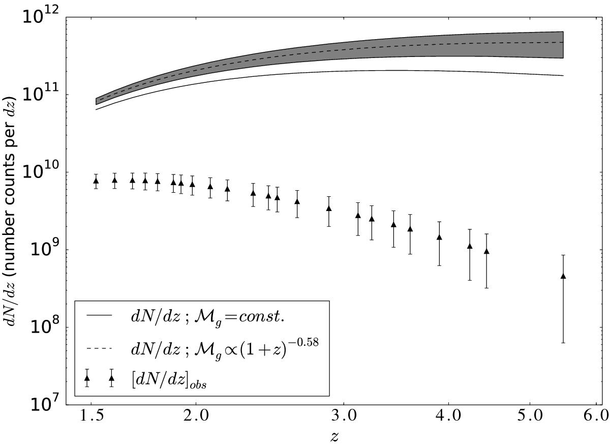
Fig. 5

Redshift evolution of the theoretical differential number counts using constant and evolving values for ℳg, as well as the observational values. The constant value used was the assumed local (z ≈ 0) average galactic mass ℳg = 1011ℳ⊙. Symbols are as in the legend, and the gray area is the 1σ error of the power index of ℳg(z).
Current usage metrics show cumulative count of Article Views (full-text article views including HTML views, PDF and ePub downloads, according to the available data) and Abstracts Views on Vision4Press platform.
Data correspond to usage on the plateform after 2015. The current usage metrics is available 48-96 hours after online publication and is updated daily on week days.
Initial download of the metrics may take a while.