Free Access

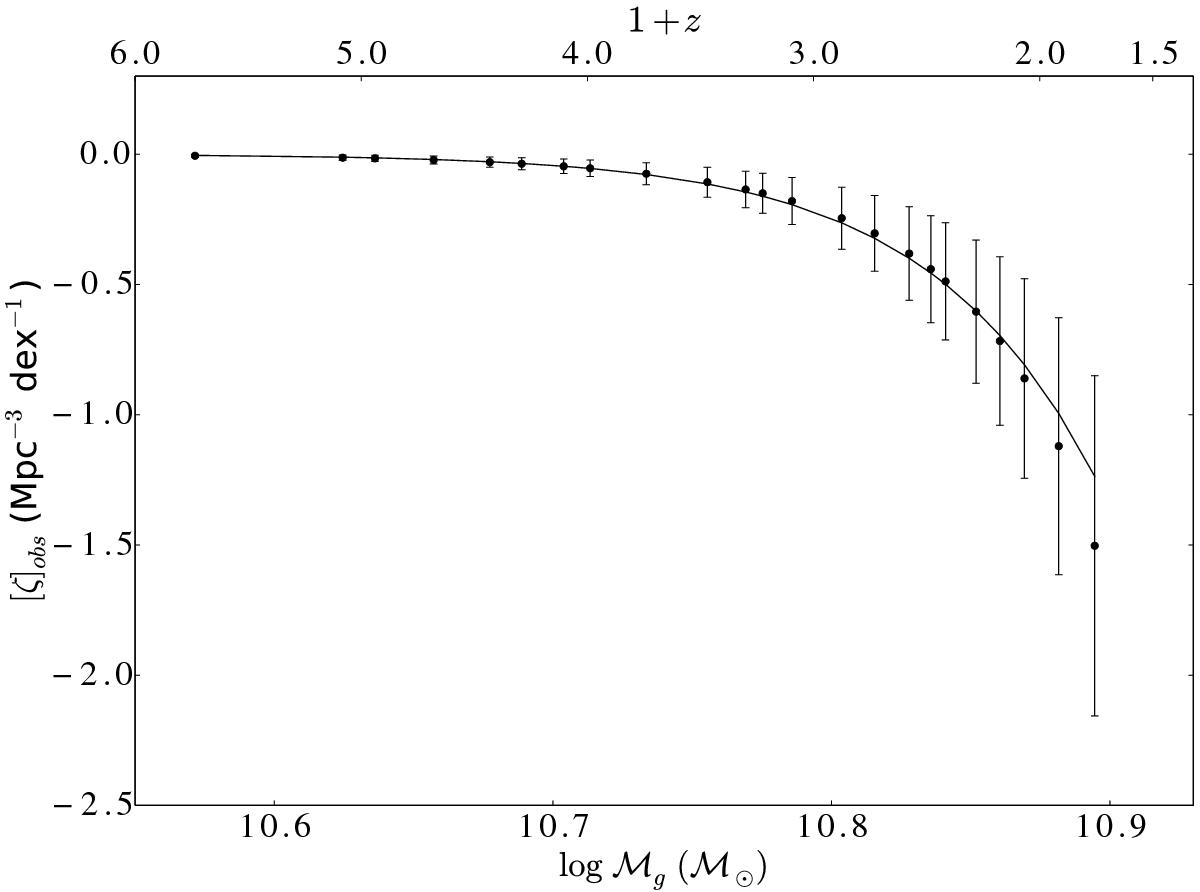
Fig. 6

image

Galaxy cosmological mass function in terms of the average galactic mass and its corresponding redshift evolution. The best-fit function has χ2 = 0.029. The function is given by a Schechter type function (Eq. (26)) and the fitted parameters are given in Eqs. (50)–(52).

Current usage metrics show cumulative count of Article Views (full-text article views including HTML views, PDF and ePub downloads, according to the available data) and Abstracts Views on Vision4Press platform.

Data correspond to usage on the plateform after 2015. The current usage metrics is available 48-96 hours after online publication and is updated daily on week days.

Initial download of the metrics may take a while.