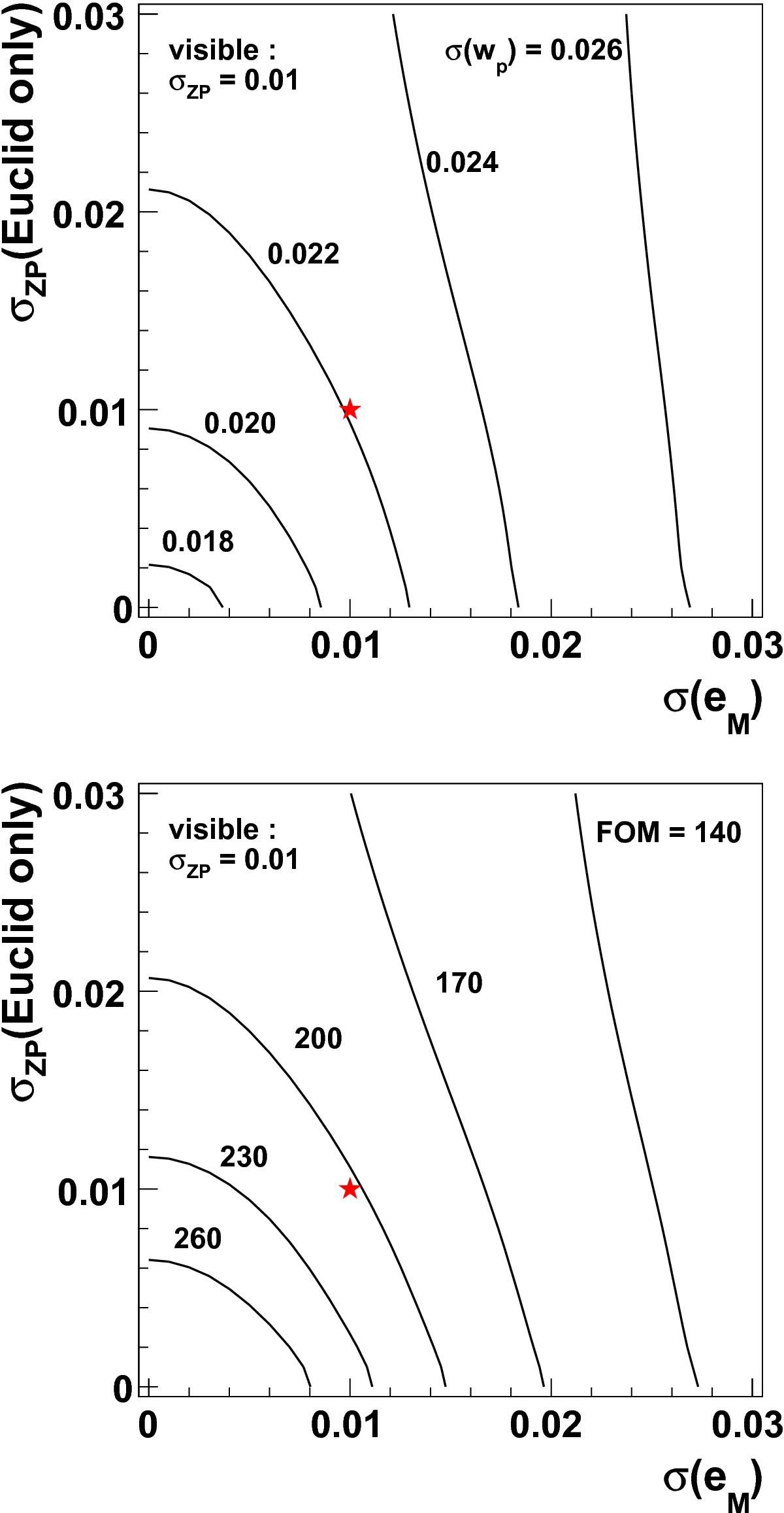
Fig. 11

Contour levels of σ(wp) (top) and the FoM (bottom) as a function of Euclid calibration accuracy σZP (equal for all Euclid filters), and the distance evolution uncertainty σ(eM) (defined in Eq. (5)). The stars indicate our baseline (0.01, 0.01). One can note that significantly worse hypotheses do not dramatically degrade the capabilities of the proposed surveys.
Current usage metrics show cumulative count of Article Views (full-text article views including HTML views, PDF and ePub downloads, according to the available data) and Abstracts Views on Vision4Press platform.
Data correspond to usage on the plateform after 2015. The current usage metrics is available 48-96 hours after online publication and is updated daily on week days.
Initial download of the metrics may take a while.