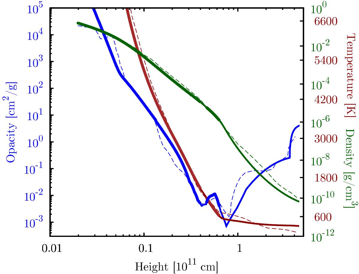
Fig. 11

Radial structure of the envelope in the Σ10 case shortly before crossover. The plot shows the opacity (blue), temperature (brown), and gas density (green) as a function of height. Solid lines are the results from this work with convective parts indicated by a thicker line. Dashed lines show the corresponding results from MBPL10.
Current usage metrics show cumulative count of Article Views (full-text article views including HTML views, PDF and ePub downloads, according to the available data) and Abstracts Views on Vision4Press platform.
Data correspond to usage on the plateform after 2015. The current usage metrics is available 48-96 hours after online publication and is updated daily on week days.
Initial download of the metrics may take a while.